January 1995

Legislative Analyst's Office
BUDGETARY TRENDS


A familiarity with basic budgetary concepts and recent state budgetary trends is helpful in understanding the challenges facing state budget decisionmakers today, and the context in which budget-related policy decisions must be made.


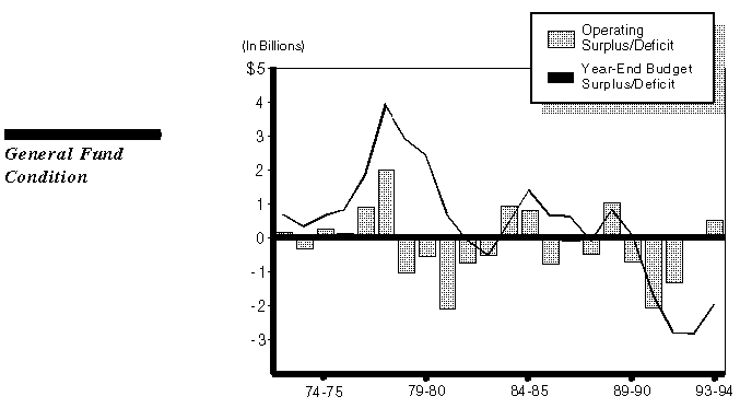
Past Operating Shortfalls Have Resulted in Budget Deficits

The annual budgetary operating balance (surplus or deficit) is the difference between current revenues and current spending in any given fiscal year. Adding any carryover surplus or deficit from the prior year to this current operating balance yields the current year-end budget balance (commonly referred to as the budget surplus/deficit).

Since Proposition 13 was approved in 1978, state General Fund spending has exceeded revenues in 11 of 16 years, resulting in a 1993-94 year-end budget deficit of $2 billion.

Although operating surpluses were experienced in both 1992-93 and 1993-94, operating deficits would have resulted had off-budget Proposition 98 loans ($1.8 billion) to schools and community colleges been included in state spending.


Nationwide, State Finances Have Been Improving

After struggling through the 1990s recession, finances have improved for most states.

Whether state finances nationwide will continue to improve will depend on economic performance and future budget-related actions.


State Plans Balanced Budget in 1995-96

The budget plan adopted in 1994 is a two-year plan aimed at eliminating the $2 billion 1993-94 General Fund budget deficit by the end of 1995-96.

Since the two-year plan was adopted, the 1994-95 outlook has improved slightly. The 1994-95 shortfall in federal immigrant funds has been more than offset by adjustments that reduced the 1993-94 carryover deficit, somewhat stronger revenue growth, and savings due to slower growth of caseloads and school enrollment. Nevertheless, unless a very significant amount of federal funds are provided, 1995-96 will be a very difficult budget year.

The state also faces other significant budget risks, such as major costs for school funding and employee retirement contributions if recent court decisions are upheld on appeal.


Strategies to Address Budget Gaps Have Varied

Over the last four years, the state has faced large gaps between anticipated revenues and the amount of spending needed to fund programs. Different mixes of strategies have been used in different years to address these budget gaps. These have included program reductions, revenue enhancements, cost shifts, cost deferrals and revenue accelerations, and reserve reductions and other actions.

1991-92. Additional revenues, primarily $7.2 billion from tax increases, resolved about two-thirds of the $14.3 billion budget gap. Program reductions provided the next largest contribution--$4.1 billion.

1992-93. Program reductions made the largest contribution to addressing the $11.2 billion gap. A $1.7 billion savings in education programs provided the largest share. Cost shifts to local governments and the federal government as well as cost deferrals and revenue accelerations also were important.

1993-94 and 1994-95. Cost shifts along with cost deferrals and revenue accelerations provided most of the gap-closing actions.


Short-Term Borrowing Has Risen in Recent Years

In order to have sufficient cash on hand to pay its bills, the state engages in several types of short-term borrowing, including borrowing from both internal and external sources.

In recent years, cash management has become more critical than ever in financing the annual budget. Ongoing budget deficits have required the state to increase short-term borrowing activities, including extending short-term borrowing across fiscal years.

This is particularly true since the General Fund's cash deficit exceeds the budget deficit by about $3 billion--primarily due to $1.8 billion of off- budget loans that were provided to schools and community colleges. Although the two-year budget plan adopted in July 1994 anticipates a small 1995-96 year-end budget surplus, it still requires $2.9 billion of outstanding cash borrowing from special funds at that time. The state, however, would have no outstanding external borrowing at the end of 1995-96.


The Trigger Will Not Be Pulled in 1994-95

As part of the 1994-95 budget package, the state put into place what is referred to as a trigger mechanism. This mechanism was viewed as being necessary to ensure repayment of money borrowed from investors to finance the two-year budget plan. The trigger mechanism requires that certain actions occur, including the possibility of automatic budget cuts, if the state's cash position deteriorates by more than prescribed amounts in 1994-95 or 1995-96.

In November 1994 it was determined that the trigger will not be pulled in 1994-95, because of an improvement--rather than a deterioration--in the state's projected cash position for 1994-95.

Whether the trigger will be pulled in 1995-96 will depend on how 1995-96 budget decisions and other developments affect the state's projected cash position for the end of 1995-96.


Return to Cal Guide Table of Contents

Return to LAO Home Page