January 1995

Legislative Analyst's Office

CALIFORNIA'S POPULATION


As is true for the economy, having an understanding of California's population characteristics and trends is important for understanding the fiscal conditions and policy challenges facing California's governments. Population factors influence the economy and government revenues. They also help determine government spending needs and priorities.


California's Rapid Population Growth Slows

In 1994, California's population reached 32 million, representing 12.6 percent of the nation. By comparison, California had a population of 21 million in 1974, or 9.9 percent of the nation. Thus, over the past 20 years, California's population has grown by 11 million people, or over 50 percent.

California's average population growth rate was 2.1 percent during this period, or twice that of other states combined.

California's population growth was particularly strong from 1985 to 1990, averaging 2.5 percent. This was about three times as fast as the rest of the country.

Since 1990, however, California's population growth has slowed dramatically, largely in response to the poor performance of the state's economy. In 1993, population growth dipped to 1.4 percent--the lowest rate in 20 years. Nevertheless, the state's rate of population growth continues to outpace the rest of the nation, which is growing at about 1 percent annually.


Net Migration Has Declined Dramatically

Population growth results from two factors.

During the latter half of the 1980s when California's population grew very rapidly, net migration to California contributed somewhat more to population growth than the gain from natural increase. Both foreign immigrants and migrants from other states contributed to this growth.

Net migration to the state peaked in 1990, when California gained almost half a million residents from foreign nations and other states.

Since 1991, however, natural increase has accounted for most of the state's population growth, as net migration to the state dropped sharply in response to the recession and poorer employment opportunities.


Foreign Migration Remains Strong While Domestic Migration Turns Negative

The recent decline in net migration reflects a decline in net domestic migration.

In contrast, foreign migration to California has remained strong--about 300,000 annually.


Nearly 60 Percent of Californians Live in Southern California

California's population is widely distributed throughout the state, but is highly concentrated in certain areas.


Growth Rates Slow in Coastal Urban Counties

Population growth rates in California vary considerably depending on the region of the state.

Currently, the highest population growth rates are occurring mainly in Central Valley and foothill counties, and in Riverside and Imperial Counties in Southern California. About five million Californians live in those counties that are growing by 2 percent or more annually.

In contrast, annual growth is less than 2 percent in all of the urban coastal counties. The growth rate is less than 1 percent in Los Angeles County. About 30 percent of the population lives in counties with growth under 1 percent.

In terms of the number of people added, however, the highest ranking counties are not those with the highest percentage growth rates. Los Angeles County, for example, added the most people in 1993--72,000. Only two of the top ten counties in terms of numeric population change (Riverside and Fresno) also ranked in the top ten in terms of percentage growth rates.


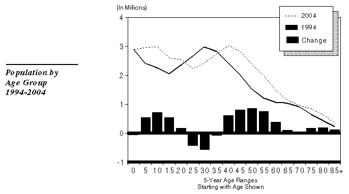
Population Growth to Be Most Rapid In Young and Older Age Groups

California's population will be undergoing dramatic changes in its age-mix over the next ten years.

California will be getting both younger and older, as growth occurs at both ends of the age spectrum. The school-age population will grow significantly by 2004, and the elderly population, while small, also will grow very rapidly.

By the year 2004, the number of people between 40 and 60 years old will increase by more than 50 percent as the baby boomers age. Meanwhile, the number of younger adults-- those in their mid-twenties to mid-thirties--will decline over the next ten years. As a result, the average age of California's working-age population (18-65) will increase from 38 to 40.

These changes will have a variety of economic effects and fiscal implications for California's state and local governments, especially in such areas as education and health care.


Hispanics and Asians Will Account for Most of State's Population Growth

Significant changes in California's ethnic mix also are in the offing.

Between 1990 and 2010, California's Hispanic population will double, and the state's Asian population will grow by two-thirds. The projected growth in the state's white (non-Hispanic) population is only 13 percent over the same period, so that by 2010:


Return to Cal Guide Table of Contents

Return to LAO Home Page